安正时尚集团股份有限公司2022年度报告摘要



展开全文















公司代码:603839 公司简称:安正时尚
2022
年度报告摘要
证券代码:603839 证券简称:安正时尚 公告编号:2023-030
安正时尚集团股份有限公司
关于2022年度利润分配预案的公告
第一节 重要提示
一、本年度报告摘要来自年度报告全文,为全面了解本公司的经营成果、财务状况及未来发展规划,投资者应当到网站仔细阅读年度报告全文。
二、本公司董事会、监事会及董事、监事、高级管理人员保证年度报告内容的真实性、准确性、完整性,不存在虚假记载、误导性陈述或重大遗漏,并承担个别和连带的法律责任。
三、公司全体董事出席董事会会议。
四、容诚会计师事务所(特殊普通合伙)为本公司出具了标准无保留意见的审计报告。
五、董事会决议通过的本报告期利润分配预案或公积金转增股本预案
以公司利润分配股权登记日的总股本扣减公司回购股份为基数,每10股派发现金红利5元(含税),预计派发现金红利195,567,100元,剩余未分配利润结转以后年度分配。
第二节 公司基本情况
一、 公司简介
二、 报告期公司主要业务简介
根据中国证监会公布的《上市公司行业分类指引》(2012年修订),公司所处的行业为“纺织服装、服饰业”,行业代码为C18。报告期内,公司的主营业务范围未发生重大变化。公司主要业务为中高档品牌时装的自主研发、生产、销售及品牌管理。
(一)公司主要业务及品牌介绍
公司是一家始终把握时尚流行趋势,坚持匠心与创新精神,恪守“安于正道,创美圆梦”,致力于为顾客创造高品质生活方式以及实现消费者、员工、企业和合作伙伴价值与梦想的时尚产业集团。公司聚焦中高档品牌时装,聚力打造多品牌矩阵,形成风格鲜明互补、消费群体定位差异有序的时装品牌集合。公司目前拥有“JZ玖姿”、“IMM尹默”、“MOISSAC摩萨克”、“ANZHENG安正”四大自有时装品牌;公司旗下控股品牌有中国十大童装品牌之一的“FROG PRINCE青蛙王子”,公司还在大中华区合资经营韩国童装品牌“ALLO&LUGH阿路和如”。此外,公司控股了电商代运营公司礼尚信息。
1.JZ玖姿
创立于2001年,“专注修饰女性身型,让每一种曲线都值得欣赏”的中国女装知名品牌。
“自在随心,中国姿造”是JZ玖姿的品牌主张,亦是源自东方的美丽哲学。当代中国式优雅,是流动的气韵,是一份可以恰到好处地展现内在力量和外在美丽的智慧哲学,兼具东方底蕴和世界视野。JZ玖姿以恰到好处的裁衣技法和设计巧思,绽放中国女性健康饱满的自然曲线之美。
目标客群:35-45岁的女性。
JZ玖姿品牌风格
JZ玖姿 苏州绿宝广场店
2.MOISSAC摩萨克
于2014年加入公司,Bisous de Paris以爱制衣,充满爱意的新法式时尚品牌。
缘起法国巴黎的MOISSAC,是浪漫生活的织造者,将精致惬意的法式生活理念编织进如阳光般明快多彩的品牌风格中,「Bisous de Paris 以爱制衣」,一句来自巴黎的亲切问候,正是MOISSAC的情感表达,从产品设计到服务体验,用细节传递出无尽浪漫。MOISSAC倡导对自我的热爱、事物的珍爱,以真挚明媚的浪漫情怀,拥抱无限美好。
目标客群:25-35岁的都市女性。
MOISSAC摩萨克品牌风格
MOISSAC摩萨克 北京朝阳大悦城店
3.IMM尹默
创立于2008年,独立、知性、艺术的高级时装品牌。
IMM尹默将源起于基因中的融合平衡之美,用解构语言传递拼接至简的设计美感,动亦静,静亦动,演化出一种刚柔并济的艺术张力。IMM尹默凝结女性力量,以风格时装及精神文化为当代精英女性表达。
目标客群:30-45岁的当代精英女性。
IMM尹默品牌风格
IMM尹默 重庆北城天街店
4.ANZHENG安正
创立于2012年,是提取中国之蕴,展现当代风尚的中国民族品牌。
ANZHENG安正以中国元素为设计灵感,秉承中蕴西型的设计理念,呈现“蕴出中国,行于世界”的都市生活主张。ANZHENG安正臻选高级材质与制作工艺,为当代都市男女打造通勤休闲与时尚轻运动相结合的多元、品质城市生活着装,展现当代中国的时尚风貌与文化自信。
目标客群:30-50岁的男性客群以及25-45岁女性客群。
ANZHENG安正品牌风格
ANZHENG安正 武汉武商Mall·国广店
5.ALLO&LUGH 阿路和如
2005年进入中国市场,品牌致力于陪伴0-7岁中国宝宝,提供多品类产品的中高端儿童国际品牌,全力打造高品质、高颜值、高性价比,让妈妈安心的美好产品。
凭借独特有趣的产品设计、专业高效的运营团队以及成熟强大的资源优势,allo&lugh 已成为儿童行业知名品牌之一。
allo&lugh阿路和如品牌风格
allo&lugh阿路和如 重庆协信星光时代广场店
6.FROG PRINCE青蛙王子
创立于1991年,以用户为导向,以产品价值体验为核心,缔造值得消费者信赖的童装品牌。
品牌以“释放孩子爱玩天性,支持儿童志向成长”为核心诉求。强调产品品质,采用天然、环保、舒适的面辅料,给予孩子最贴心的呵护。
产品赋予“儿童潮范生活”新定义,专注于洞察儿童多场景需求,以潮范、高品质的产品体验和有温度的终端体验,引领儿童成长创造新价值。
FROG PRINCE青蛙王子品牌风格
FROG PRINCE青蛙王子 佛山市天安数码城店
7.礼尚信息
礼尚信息致力于为国际国内消费品牌提供一站式全渠道电商服务,赋能品牌增长和数字化转型。其以专业的营销和运营服务帮助海内外母婴、运动时尚、宠粮家居等行业知名品牌在国内电商全渠道实现快速增长。
礼尚信息集零售管理、全渠道分销、全域整合营销、全渠道CRM、国内外供应链解决方案和IT技术服务于一体,深刻理解传统电商平台运作模式,并积极探索社交电商、O2O、社群营销等新型业务领域。根据多年运营所积累的前台营销、中台运营和后台供应链IT的专业能力,能够满足品牌客户从前到后的所有需求。
(二)公司经营模式
1.开发设计模式
公司中高端品牌时装为保持个性化、差异化的品牌定位、设计风格及目标客群,公司旗下各品牌实行独立的产品研发。产品研发过程可分为商品企划与产品设计两个主要阶段。在商品企划阶段,公司各品牌事业部,一方面针对各自的目标消费者圈层进行大数据调研,通过数据分析洞察消费者需求,识别时尚流行趋势,另一方面积极与国内外知名时装设计师进行合作,吸收和学习国际时尚趋势与研发经验,同时,还聘请了多位海外知名设计师担任公司创意总监和顾问,分别参与公司各品牌的商品企划和产品设计指导工作。在产品设计阶段,公司各品牌事业部,一方面根据商品企划,在创意总监主导下完成面辅料的选择,组织完成产品创意、设计、定价,另一方面在设计主题选择与色彩花型创作方面,也会积极与国际知名色彩趋势研究机构进行合作,引入和学习国际前沿的色彩流行趋势案例。
2.生产模式
公司中高端品牌时装目前主要采取自主生产、委托加工及成衣采购相结合的成衣供应模式,由公司供应链中心统一负责组织、实施和管理各品牌产品的生产活动。在合作方式上,公司与供应商实行排他性的定制化生产,并在采购协议中明确约定,对于由公司开发的产品,签约供应商不得自行生产或泄露给其他第三方。
3.销售模式
公司中高端品牌时装实行线下直营、联营和加盟模式与新零售相结合的全渠道销售模式。其中,公司主品牌“JZ玖姿”、中国十大童装品牌之一的“FROG PRINCE青蛙王子”、中韩合资品牌“ALLO&LUGH阿路和如”因较长的经营历史,形成了加盟店占比较高的渠道结构;“IMM尹默”、“MOISSAC摩萨克”作为公司陆续经营的品牌则采取直营为主、加盟为辅的销售模式策略,“ANZHENG安正”品牌采取直营模式销售。公司不断完善直营门店、加盟门店的销售渠道结构,积极拓展市场份额,同时,重点加强电商渠道建设,积极实践新媒体营销方式,逐步实现各品牌全渠道零售布局。
4.电商代运营模式
公司控股电商代运营公司礼尚信息主要经营模式为基于品牌方的授权,在天猫、京东等第三方电商平台运营品牌旗舰店,提供品牌定位、供应链管理、店铺运营、整合营销等综合服务。此外,礼尚信息还提供电商推广、互动营销和网络分销渠道优化等服务,旨在为中国日益增长的消费需求提供更多的高品质产品和帮助更多国外品牌进入中国市场。
三、 公司主要会计数据和财务指标
(一)近3年的主要会计数据和财务指标
单位:元 币种:人民币
(二)报告期分季度的主要会计数据
单位:元 币种:人民币
季度数据与已披露定期报告数据差异说明
□适用 √不适用
四、 股东情况
(一)报告期末及年报披露前一个月末的普通股股东总数、表决权恢复的优先股股东总数和持有特别表决权股份的股东总数及前 10 名股东情况
单位: 股
(二)公司与控股股东之间的产权及控制关系的方框图
√适用 □不适用
(三)公司与实际控制人之间的产权及控制关系的方框图
√适用 □不适用
(四)报告期末公司优先股股东总数及前10 名股东情况
□适用 √不适用
五、 公司债券情况
□适用 √不适用
第三节 重要事项
一、公司应当根据重要性原则,披露报告期内公司经营情况的重大变化,以及报告期内发生的对公司经营情况有重大影响和预计未来会有重大影响的事项。
2022年,公司以创始大股东、总裁郑安坤先生为首的管理团队深度聚焦时装主业,狠练内功、夯实根基,公司业务基本盘稳固。
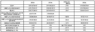
2022年度,公司实现营业收入22.63亿元,同比下降26.47%,其中:服装板块实现收入15.60亿元,同比下降29.17%;电商代运营板块实现收入7.03亿元,同比下降19.68%。
2022年度,公司主营业务毛利率为47.61%,同比减少0.16个百分点。
2022年度,公司归属于上市公司股东的净利润为-3.55亿元,同比下降608.92%;归属于上市公司股东扣除非经常性损益的净利润为-3.88亿元,比上年同期下降565.63%,主要系公司投资上海蛙品和礼尚信息形成的商誉发生减值。
2022年,公司经营活动产生的现金流量净额为2.58亿元,同比下降52.15%,主要系销售下降,经营性回款减少。
二、公司年度报告披露后存在退市风险警示或终止上市情形的,应当披露导致退市风险警示或终止上市情形的原因。
□适用 √不适用
本公司董事会及全体董事保证本公告内容不存在任何虚假记载、误导性陈述或者重大遗漏,并对其内容的真实性、准确性和完整性承担法律责任。
重要内容提示:
● 分配比例:A股每股派发现金红利人民币0.5元(含税)。
● 本次利润分配拟以2022年度利润分配实施股权登记日的总股本扣减公司回购股份为基数,具体日期将在权益分派实施公告中明确。
● 在实施权益分派的股权登记日前公司总股本发生变动的,拟维持每股分配比例不变,相应调整分配总额,并将另行公告具体调整情况。
一、2022年度利润分配预案内容
安正时尚集团股份有限公司(以下简称“公司”)经容诚会计师事务所(特殊普通合伙)审计,母公司2022年度实现净利润-159,595,160.15元,加上年初未分配利润1,262,462,518.70元,减除分配的2021年年度股利192,816,600.00元,提取法定盈余公积0.00元后,可供分配的利润为910,050,758.55元。
经董事会决议,公司2022年度拟以实施权益分派股权登记日的总股本扣减公司回购股份为基数分配利润,本次利润分配方案如下:
据《上海证券交易所上市公司自律监管指引第7 号一一回购股份》等有关规定,上市公司回购专用证券账户中的股份,不享有利润分配的权利。截至2023年4月26日,公司回购专用证券账户持有公司股份8,077,960股,不参与本次利润分配。
公司拟向全体股东每10股派发现金红利5元(含税),截至2023年4月26日,公司总股本为399,212,160股,公司回购专用证券账户持有股份8,077,960股,以此计算,预计派发现金红利195,567,100.00元(含税),剩余未分配利润结转以后年度分配。
如在本公告披露之日起至实施权益分派股权登记日期间,公司总股本扣减公司回购股份后发生变动的,公司拟维持每股分配比例不变,相应调整分配总额,如后续总股本发生变化,将另行公告具体调整情况。
本次利润分配方案尚需提交2022年年度股东大会审议。
二、董事会审议情况
公司于2023年4月25日召开第五届董事会第二十四次会议,审议通过了《关于制定2022年度利润分配预案的议案》,同意本次利润分配预案,并同意将该议案提交公司2022年年度股东大会审议。
三、独立董事意见
公司全体独立董事认为,公司2022年度利润分配预案符合《公司法》《证券法》《上市公司监管指引第3号一上市公司现金分红(2022年修订)》和《公司章程》等相关规定,符合公司实际情况。公司利润分配预案决策程序合法合规,不存在损害公司股东,尤其是中小股东利益的行为。公司全体独立董事同意该议案并将该议案提交股东大会审议。
四、监事会意见
监事会认为:本次利润分配预案符合《上市公司监管指引第3号一一上市公司现金分红(2022年修订)》《公司章程》等规定的利润分配政策和相关法律、法规的要求,充分考虑了公司的实际经营情况和未来发展计划,未损害中小股东的合法权益,符合公司和全体股东的利益,同意本次利润分配预案。
五、相关风险提示
(一)本次利润分配预案结合了公司发展阶段、未来的资金需求等因素,不会对公司经营现金流产生重大影响,不会影响公司正常经营和长期发展。
(二)本次利润分配预案尚需提交公司2022年年度股东大会审议通过后方可实施,敬请广大投资者注意投资风险。
特此公告。
安正时尚集团股份有限公司
董事会
2023年4月27日
证券代码:603839 证券简称:安正时尚 公告编号:2023-029
安正时尚集团股份有限公司关于
使用闲置自有资金购买理财产品的公告
本公司董事会及全体董事保证本公告内容不存在任何虚假记载、误导性陈述或者重大遗漏,并对其内容的真实性、准确性和完整性承担法律责任。
重要内容提示:
● 委托理财受托方:银行、证券公司、信托公司等合格的金融机构。
● 委托理财金额:公司拟使用额度不超过人民币80,000万元(含80,000万元)自有闲置资金购买风险可控、流动性较高的理财产品或金融产品,在该额度内可循环滚动使用(包含投资收益再投资金额)。
● 委托理财期限:自公司2022年年度股东大会审议通过之日起至下年度股东大会审议本事项通过之日止,单个理财产品的投资期限不超过12个月。
安正时尚集团股份有限公司(以下简称“公司”)于2023年4月25日召开第五届董事会第二十四次会议、第五届监事会第十六次会议,审议通过了《关于使用闲置自有资金购买理财产品的议案》,为提高资金使用效率,增加投资收益,在确保不影响公司正常经营所需流动资金的情况下,同意以最高不超过80,000万元(含80,000万元)人民币闲置自有资金购买风险可控、流动性较高的理财产品。具体情况如下:
一、闲置自有资金购买理财产品的基本情况
根据《公司法》《公司章程》等相关规定,公司闲置自有资金拟购买理财产品的具体方案如下:
1.适用主体
公司及下属子公司(全资及控股子公司)。
2.购买理财产品的目的
本着公司价值最大化的原则,根据公司自有资金情况,在不影响正常经营及风险可控的前提下,使用自有闲置资金购买风险可控、流动性较高的理财产品,可提高公司的资金使用效率,增加公司投资收益。
3.资金来源
公司用于投资理财的资金为公司及下属子公司闲置自有资金。
4.购买理财产品的金额
公司使用最高不超过80,000万元(含80,000万元)人民币闲置自有资金购买理财产品,上述资金在额度范围内可滚动使用(包含投资收益再投资金额)。
5.投资产品的种类
主要用于投资合法金融机构发行的风险可控、流动性较高的理财产品。不用于其他证券投资,不购买股票及其衍生品。
6.有效期及购买期限
自公司2022年年度股东大会审议通过之日起至下年度股东大会审议本事项通过之日止,单个理财产品的投资期限不超过12个月。
7.购买理财产品的实施
在最高额度范围内公司董事会授权公司董事长最终审定并签署相关实施协议或合同等文件,授权公司财务总监负责办理闲置自有资金购买理财产品相关事宜。
二、投资风险
公司拟购买的理财产品属于风险可控的投资品种,但仍然受到金融市场及宏观经济的影响,公司将根据金融市场的变化适时适量介入,但不排除该项投资受到市场波动的影响。
三、购买理财产品的风险控制
1.严格筛选投资对象,选择信誉好、规模大、有能力保障资金安全,经营效益好、资金运作能力强的单位所发行的产品。
2.公司财务部建立台账对理财产品进行管理,实时分析和跟踪产品的净值变动情况,如评估发现存在可能影响公司资金安全的风险因素,将及时采取相应措施,控制投资风险。
3.独立董事、监事会有权对资金使用情况进行监督与检查,必要时可以聘请专业机构进行审计。
4.及时履行信息披露义务。公司将按照《上海证券交易所股票上市规则》等相关规定及时履行信息披露义务。
四、独立董事意见和监事会意见
(一)独立董事意见
1.公司购买理财产品是在保证正常生产经营所需资金不受影响的基础上,在严格控制风险和充分信息披露的前提下进行的,有利于提高公司自有资金的使用效率,获得一定的投资收益,符合公司和全体股东的利益。
2.公司使用闲置自有资金购买理财产品已履行相应的审批程序,符合有关法律法规、《公司章程》等有关规定,不存在损害公司股东利益的情形。
我们同意公司使用最高不超过人民币80,000万元(含80,000万元)的闲置自有资金购买理财产品,上述资金在额度及授权范围内可滚动使用(包含投资收益再投资金额),单个理财产品期限不超过12个月,并同意将该议案提交股东大会审议。
(二)监事会意见
公司目前财务状况稳健,在保证流动性和资金安全的前提下,使用部分闲置资金购买风险可控、流动性较高的理财产品,有利于提高公司自有资金的使用效率,增加公司投资收益,不会对公司生产经营造成不利影响,符合公司利益,不存在损害公司及全体股东利益的情况。同意公司以最高不超过80,000万元(含80,000万元)人民币的闲置自有资金购买理财产品,单个理财产品期限不超过12个月。
五、购买理财产品对公司的影响
公司坚持规范运作,在符合国家法律法规、确保不影响公司自有资金流动性和安全性的前提下,使用公司及下属子公司闲置自有资金购买风险可控、流动性较高的理财产品,可以实现自有资金保值增值,不会影响公司主营业务的正常开展,同时可以提高公司资金使用效率,使公司获得一定的投资收益,为公司股东带来更多的投资回报,对公司未来主营业务、财务状况、经营成果和现金流量等不会造成重大的影响。
特此公告。
安正时尚集团股份有限公司
董事会
2023年4月27日
证券代码:603839 证券简称:安正时尚 公告编号:2023-028
安正时尚集团股份有限公司
第五届监事会第十六次会议决议公告
公司及监事会全体成员保证公告内容真实、准确和完整,没有虚假记载、误导性陈述或重大遗漏。
安正时尚集团股份有限公司(以下简称“公司”)第五届监事会第十六次会议于2023年4月25日以现场结合通讯方式召开。本次监事会已于2023年4月14日以电子邮件、电话等方式通知全体监事。会议由监事会主席孔琦召集,经半数以上监事推选孔琦主持,应到会监事3名,实际到会监事3名。会议符合《公司法》《公司章程》的规定。会议通过记名投票表决的方式审议通过了以下议案:
一、审议通过《2022年年度报告及摘要》
监事会同意就2022年年度报告及摘要发表审核意见如下:
1、公司《2022年年度报告》及《2022年年度报告摘要》的编制和审议程序符合法律法规、《公司章程》及公司各项内部管理制度的各项规定;
2、公司2022年年度报告的内容和格式符合中国证监会和上海证券交易所的各项规定,所包含的信息从各个方面真实地反映出公司本年度的经营管理和财务状况等事项,不存在虚假记载、误导性陈述和重大遗漏;
3、在发表本意见前,未发现参与公司2022年年度报告编制和审议的人员有违反保密规定的行为。
4、监事会同意披露公司2022年年度报告及摘要。
表决结果:3票同意;0票反对;0票弃权。该议案获得通过。
具体内容详见上海证券交易所网站(年年度报告摘要》。
本议案尚需提交公司2022年年度股东大会审议。
二、审议通过《2022年度监事会工作报告》
表决结果:3票赞成;0票反对;0票弃权。该议案获得通过。
具体内容详见上海证券交易所网站(年度监事会工作报告》。
本议案尚需提交2022年年度股东大会审议。
三、审议通过《2022年度内部控制评价报告》
表决结果:3票赞成;0票反对;0票弃权。该议案获得通过。
具体内容详见上海证券交易所网站(年度内部控制评价报告》。
本议案尚需提交2022年年度股东大会审议。
四、审议通过《关于编制2022年度财务决算报告的议案》
表决结果:3票赞成;0票反对;0票弃权。该议案获得通过。
具体内容详见上海证券交易所网站(年度财务决算报告》。
本议案尚需提交2022年年度股东大会审议。
五、审议通过《关于制定2022年度利润分配预案的议案》
本次利润分配预案符合《上市公司监管指引第3号一一上市公司现金分红(2022年修订)》《公司章程》等规定的利润分配政策和相关法律、法规的要求,充分考虑了公司的实际经营情况和未来发展计划,未损害中小股东的合法权益,符合公司和全体股东的利益,同意本次利润分配预案。
表决结果:3票赞成;0票反对;0票弃权。该议案获得通过。
具体内容详见上海证券交易所网站()。
本议案尚需提交2022年年度股东大会审议。
六、审议通过《关于使用闲置自有资金购买理财产品的议案》
公司目前财务状况稳健,在保证流动性和资金安全的前提下,使用部分闲置资金购买风险可控、流动性较高的理财产品,有利于提高公司自有资金的使用效率,增加公司投资收益,不会对公司生产经营造成不利影响,符合公司利益,不存在损害公司及全体股东利益的情况。同意公司以最高不超过80,000万元(含80,000万元)人民币的闲置自有资金购买理财产品,单个理财产品期限不超过12个月。
表决结果:3票赞成;0票反对;0票弃权。该项议案获通过。
具体内容详见上海证券交易所网站()。
本议案尚需提交2022年年度股东大会审议。
七、审议通过《关于预计2023年度向金融机构融资授信的议案》
主要内容:为满足公司及下属子公司2023年度经营活动的需要,进一步拓宽公司融资渠道,保证正常经营活动中的流动资金需求,公司及子公司拟向金融机构申请总额不超过80,000万元(含)的融资授信,融资方式、融资期限、担保条件、实施时间等按与金融机构最终商定的标准执行。
由于各金融机构最终审批存在一定不确定性,在上述额度内,公司可根据与各金融机构沟通的实际情况,变更授信品种并根据具体资金需求向金融机构申请。本次向金融机构申请融资额度的有效期为生效日起至下年度融资授信事项经股东大会审议通过之日止,并授权董事长决定向各金融机构申请及调整的事项,包括进行公司内部的合作金融机构、授信品种以及融资额度的调整的具体事宜。
表决结果:3票同意,0票反对,0票弃权。该项议案获通过。
本议案尚需提交公司2022年年度股东大会审议。
八、审议通过《关于审议2022年度财务报表及其附注并同意其报出的议案》
主要内容:公司已按照《企业会计准则一一基本准则》和其他各项具体会计准则、应用指南及准则解释的规定,并结合《公开发行证券的公司信息披露编报规则第15号一一财务报告的一般规定》等相关规定编制2022年度财务报表及其附注。
表决结果:3票赞成;0票反对;0票弃权。该议案获得通过。
特此公告。
安正时尚集团股份有限公司
监事会
2023年4月27日
证券代码:603839 证券简称:安正时尚 公告编号:2023-032
安正时尚集团股份有限公司
关于召开2022年年度股东大会的通知
本公司董事会及全体董事保证本公告内容不存在任何虚假记载、误导性陈述或者重大遗漏,并对其内容的真实性、准确性和完整性承担法律责任。
重要内容提示:
● 股东大会召开日期:2023年5月18日
● 本次股东大会采用的网络投票系统:上海证券交易所股东大会网络投票系统
一、 召开会议的基本情况
(一)股东大会类型和届次
2022年年度股东大会
(二) 股东大会召集人:董事会
(三)投票方式:本次股东大会所采用的表决方式是现场投票和网络投票相结合的方式
(四)现场会议召开的日期、时间和地点
召开的日期时间:2023年5月18日 14 点00 分
召开地点:上海市长宁区临虹路168弄7号楼
(五)网络投票的系统、起止日期和投票时间。
网络投票系统:上海证券交易所股东大会网络投票系统
网络投票起止时间:自2023年5月18日
至2023年5月18日
采用上海证券交易所网络投票系统,通过交易系统投票平台的投票时间为股东大会召开当日的交易时间段,即9:15-9:25,9:30-11:30,13:00-15:00;通过互联网投票平台的投票时间为股东大会召开当日的9:15-15:00。
(六)融资融券、转融通、约定购回业务账户和沪股通投资者的投票程序涉及融资融券、转融通业务、约定购回业务相关账户以及沪股通投资者的投票,应按照《上海证券交易所上市公司自律监管指引第1号 一 规范运作》等有关规定执行。
(七)涉及公开征集股东投票权
不涉及
二、 会议审议事项
本次股东大会审议议案及投票股东类型
(一)各议案已披露的时间和披露媒体
上述议案已经公司第五届董事会第二十四次会议、第五届监事会第十六次会议审议通过,详见2023年4月27日在上海证券交易所网站及公司选定信披媒体披露的公告。公司将在本次股东大会召开前,在上海证券交易所网站和公司选定信披媒体登载《安正时尚集团股份有限公司2022年年度股东大会资料》。
(二)特别决议议案:8
(三)对中小投资者单独计票的议案:6、8、9
(四)涉及关联股东回避表决的议案:无
应回避表决的关联股东名称:无
(五)涉及优先股股东参与表决的议案:无
三、 股东大会投票注意事项
(一)本公司股东通过上海证券交易所股东大会网络投票系统行使表决权的,既可以登陆交易系统投票平台(通过指定交易的证券公司交易终端)进行投票,也可以登陆互联网投票平台(网址:vote.sseinfo.com)进行投票。首次登陆互联网投票平台进行投票的,投资者需要完成股东身份认证。具体操作请见互联网投票平台网站说明。
(二)持有多个股东账户的股东,可行使的表决权数量是其名下全部股东账户所持相同类别普通股和相同品种优先股的数量总和。
持有多个股东账户的股东通过本所网络投票系统参与股东大会网络投票的,可以通过其任一股东账户参加。投票后,视为其全部股东账户下的相同类别普通股和相同品种优先股均已分别投出同一意见的表决票。
持有多个股东账户的股东,通过多个股东账户重复进行表决的,其全部股东账户下的相同类别普通股和相同品种优先股的表决意见,分别以各类别和品种股票的第一次投票结果为准。
(三)同一表决权通过现场、本所网络投票平台或其他方式重复进行表决的,以第一次投票结果为准。
(四)股东对所有议案均表决完毕才能提交。
四、 会议出席对象
(一)股权登记日收市后在中国证券登记结算有限责任公司上海分公司登记在册的公司股东有权出席股东大会(具体情况详见下表),并可以以书面形式委托代理人出席会议和参加表决。该代理人不必是公司股东。
(二)公司董事、监事和高级管理人员。
(三)公司聘请的律师。
(四)其他人员
五、 会议登记方法
(一)参会股东(包括股东代理人)登记或报到时需要提供以下文件:
1.个人股东亲自出席会议的,应出示股东账户卡和本人身份证或其他能够表明其身份的有效证件或证明;委托他人出席会议的,代理人还应出示本人有效身份证件、股东授权委托书。(详见附件1)
2.法人股东应由法定代表人或者法人股东委托的代理人出席会议。法定代表人出席会议的,应出示股东账户卡、本人身份证、能证明其具有法定代表人资格的有效证明;委托代理人出席会议的,代理人还应出示本人身份证、法人股东出具的书面授权委托书。(详见附件1);
3.融资融券投资者出席会议的,应持有融资融券相关证券公司的营业执照、证券账户证明及其向投资者出具的授权委托书;投资者为个人的,还应持有本人身份证或其他能够表明其身份的有效证件,投资者为单位的,还应持有本单位营业执照、参会人员身份证、单位法定代表人出具的授权委托书。(详见附件1)
(二)出席会议登记时间:2023年5月18日下午14:00前;
(三)登记地点:公司董事会办公室(上海市长宁区临虹路168弄7号楼);
(四)股东可采用传真或信函的方式进行登记(需提供有关证件复印件),传真或信函以登记时间内公司收到为准,并请在传真或信函上注明联系电话。
六、 其他事项
(一)出席本次会议股东及股东代理人交通及食宿费用自理;
(二)联系人:杨槐 电话:021-32566088。
特此公告。
安正时尚集团股份有限公司董事会
2023年4月27日
附件1:授权委托书
● 报备文件
第五届董事会第二十四次次会议决议
附件1:授权委托书
授权委托书
安正时尚集团股份有限公司:
兹委托 先生(女士)代表本单位(或本人)出席2023年5月18日召开的贵公司2022年年度股东大会,并代为行使表决权。
委托人持普通股数:
委托人持优先股数:
委托人股东帐户号:
委托人签名(盖章): 受托人签名:
委托人身份证号: 受托人身份证号:
委托日期: 年 月 日
备注:
委托人应当在委托书中“同意”、“反对”或“弃权”意向中选择一个并打“√”,对于委托人在本授权委托书中未作具体指示的,受托人有权按自己的意愿进行表决。
证券代码:603839 证券简称:安正时尚 公告编号:2023-031
安正时尚集团股份有限公司关于
2022年度计提资产减值准备的公告
本公司董事会及全体董事保证本公告内容不存在任何虚假记载、误导性陈述或者重大遗漏,并对其内容的真实性、准确性和完整性承担法律责任。
安正时尚集团股份有限公司(以下简称“公司”)于2023年4月25日召开第五届董事会第二十四次会议,审议通过了《关于2022年度计提资产减值准备的议案》。现将相关情况公告如下:
一、本次计提资产减值准备概述
为了更加真实、准确地反映公司2022年度财务报告,根据《企业会计准则》及公司会计政策等相关规定,公司及下属子公司对2022年末所属资产进行了全面检查和减值测试,并对所属资产可收回金额进行了充分的评估和分析,对可能发生资产减值损失的相关资产计提减值准备。
公司本次计提资产减值准备的范围包括应收账款、其他应收款、存货、投资性房地产和商誉,2022年度公司计提资产减值准备合计49,580.37万元,共减少当期合并报表利润总额49,580.37万元。具体情况如下:
单位:万元 币种:人民币
二、本次计提资产减值准备的情况说明
(一)应收账款坏账计提情况
1、应收账款坏账计提依据
对于存在客观证据表明存在减值,以及其他适用于单项评估的应收票据、应收账款、其他应收款、应收款项融资、合同资产及长期应收款等单独进行减值测试,确认预期信用损失,计提单项减值准备。对于不存在减值客观证据的应收票据、应收账款、其他应收款、应收款项融资、合同资产及长期应收款或当单项金融资产无法以合理成本评估预期信用损失的信息时,公司依据信用风险特征将应收票据、应收账款、其他应收款、应收款项融资、合同资产及长期应收款等划分为若干组合,在组合基础上计算预期信用损失。
对于划分为组合的应收账款,本公司参考历史信用损失经验,结合当前状况以及对未来经济状况的预测,编制应收账款账龄与整个存续期预期信用损失率对照表,计算预期信用损失。对于划分为组合的其他应收款,公司参考历史信用损失经验,结合当前状况以及对未来经济状况的预测,通过违约风险敞口和未来12个月内或整个存续期预期信用损失率,计算预期信用损失。
2、应收账款坏账计提情况
单位:万元 币种:人民币
(二)存货跌价准备计提情况
1、存货跌价准备计提依据
资产负债表日按成本与可变现净值孰低计量,存货成本高于其可变现净值的,计提存货跌价准备,计入当期损益。在确定存货的可变现净值时,以取得的可靠证据为基础,并且考虑持有存货的目的、资产负债表日后事项的影响等因素。
资产负债表日如果以前减记存货价值的影响因素已经消失,则减记的金额予以恢复,并在原已计提的存货跌价准备的金额内转回,转回的金额计入当期损益。
2、存货跌价准备计提情况
单位:万元 币种:人民币
(三)投资性房地产减值准备计提情况
1、投资性房地产减值准备计提依据
本公司采用成本模式对投资性房地产进行后续计量。于资产负债表日判断资产是否存在可能发生减值的迹象,存在减值迹象的,本公司将估计其可收回金额,进行减值测试。可收回金额根据资产的公允价值减去处置费用后的净额与资产预计未来现金流量的现值两者之间较高者确定。当资产或资产组的可收回金额低于其账面价值时,本公司将其账面价值减记至可收回金额,减记的金额计入当期损益,同时计提相应的资产减值准备。
2、投资性房地产减值准备计提情况
单位:万元 币种:人民币
(四)商誉减值准备计提情况
1、商誉减值准备计提依据
对于因企业合并形成的商誉的账面价值,自购买日起按照合理的方法分摊至相关的资产组;难以分摊至相关的资产组的,将其分摊至相关的资产组组合。相关的资产组或资产组组合,是能够从企业合并的协同效应中受益的资产组或者资产组组合,且不大于本公司确定的报告分部。减值测试时,如与商誉相关的资产组或者资产组组合存在减值迹象的,首先对不包含商誉的资产组或者资产组组合进行减值测试,计算可收回金额,确认相应的减值损失。然后对包含商誉的资产组或者资产组组合进行减值测试,比较其账面价值与可收回金额,如可收回金额低于账面价值的,确认商誉的减值损失。
基于对收购的子公司商誉相关资产组经营状况及未来业务发展情况的审慎判断,根据厦门嘉学资产评估房地产估价有限公司出具的评估报告并结合内部减值测算,公司拟计提商誉减值准备合计36,364.37万元。
2、商誉减值准备计提情况
公司于每一资产负债表日对包含商誉的资产组或资产组合减值测试,当存在减值迹象时,公司进行减值测试。公司根据商誉的账面价值超过其可收回金额的差额确认为减值损失,2022年计提商誉减值准备36,364.37万元。
三、本次计提资产减值准备对公司的影响
本次计提各项资产减值准备合计49,580.37万元,将减少公司2022年度合并报表利润总额49,580.37万元,上述数据已经容诚会计师事务所(特殊普通合伙)审计。
四、董事会、独立董事意见
(一)董事会关于计提资产减值准备的意见
公司本次计提资产减值准备是基于谨慎性原则,符合《企业会计准则》和会计政策、会计估计的相关规定,计提资产减值准备的依据充分,且公允地反映了公司资产状况、资产价值及经营成果,使公司的会计信息更加真实可靠,具有合理性。
(二)独立董事关于计提资产减值准备的意见
本次计提资产减值准备是基于谨慎性原则,在充分分析和评估各项资产实际情况后确定的,符合《企业会计准则》和公司资产减值准备相关规定,计提依据充分、合理,决策程序符合相关法律、法规和《公司章程》的规定。本次计提资产减值准备后,能够更加公允地反映公司财务状况和经营成果,不存在损害公司及全体股东、特别是中小股东利益的情形。全体独立董事同意本次计提资产减值准备事项。
特此公告。
安正时尚集团股份有限公司董事会
2023年4月27日
证券代码:603839 证券简称:安正时尚 公告编号:2023-033
安正时尚集团股份有限公司
关于会计政策变更的公告
本公司董事会及全体董事保证本公告内容不存在任何虚假记载、误导性陈述或者重大遗漏,并对其内容的真实性、准确性和完整性承担法律责任。
重要内容提示:
● 本次会计政策变更是按照财政部分别于2021年12月、2022年11月发布的《企业会计准则解释第15号》(财会〔2021〕35号)、《企业会计准则解释第16号》(财会〔2022〕31号)要求进行的变更,不会对安正时尚集团股份有限公司(以下简称“公司”)财务状况和经营成果产生重大影响。
一、本次会计政策变更概述
(一)会计政策变更的原因
1.2021年12月30日,财政部发布了《企业会计准则解释第15号》,规定了“关于企业将固定资产达到预定可使用状态前或者研发过程中产出的产品或副产品对外销售的会计处理”、“关于资金集中管理相关列报”和“关于亏损合同的判断”等内容。
2.2022年11月30日,财政部颁布了《关于印发〈企业会计准则解释第16号〉的通知》(以下简称“《企业会计准则解释第16号》”),对“关于发行方分类为权益工具的金融工具相关股利的所得税影响的会计处理”、“关于企业将以现金结算的股份支付修改为以权益结算的股份支付的会计处理”和“关于单项交易产生的资产和负债相关的递延所得税不适用初始确认豁免的会计处理”等会计政策内容进行了规范说明。
(二)变更前后公司采用的会计政策
本次会计政策变更前,公司施行财政部发布的《企业会计准则一一基本准则》和各项具体会计准则、企业会计准则应用指南、企业会计准则解释以及其他相关规定。本次会计政策变更后,公司按照《企业会计准则解释第15号》《企业会计准则解释第16号》的相关规定执行,除上述会计政策变更外,其他未变更部分,仍按照财政部前期颁布的各项具体会计准则、企业会计准则应用指南及其他相关规定执行。
(三)变更日期
根据财政部《企业会计准则解释第15号》的要求,其中“关于企业将固定资产达到预定可使用状态前或者研发过程中产出的产品或副产品对外销售的会计处理”和“关于亏损合同的判断”,本公司自2022年1月1日起执行该解释。
根据财政部《企业会计准则解释第16号》的要求,公司结合自身实际情况,对原会计政策作相应变更,并按照上述文件规定的施行日开始执行会计准则,即“关于单项交易产生的资产和负债相关的递延所得税不适用初始确认豁免的会计处理”内容自2023年1月1日起施行;“关于发行方分类为权益工具的金融工具相关股利的所得税影响的会计处理”和“关于企业将以现金结算的股份支付修改为以权益结算的股份支付的会计处理”内容自《企业会计准则解释第16号》公布之日起执行。
二、本次会计政策变更对公司的影响
本次会计政策变更系公司根据财政部相关规定和要求进行的变更,符合相关法律法规的规定,执行变更后的会计政策能够客观、公允地反映公司的财务状况和经营成果。本次会计政策变更不涉及对公司以前年度的重大追溯调整,不会对公司财务状况和经营成果产生重大影响。
特此公告。
安正时尚集团股份有限公司
董事会
2023年4月27日
证券代码:603839 证券简称:安正时尚 公告编号:2023-027
安正时尚集团股份有限公司
第五届董事会第二十四次会议决议公告
本公司董事会及全体董事保证本公告内容不存在任何虚假记载、误导性陈述或者重大遗漏,并对其内容的真实性、准确性和完整性承担法律责任。
安正时尚集团股份有限公司(以下简称“公司”)第五届董事会第二十四次会议于2023年4月25日以现场结合通讯方式召开。本次董事会已于2023年4月14日以电子邮件、电话等方式通知全体董事、监事、高级管理人员。会议由董事长郑安政先生召集并主持,应参加表决的董事6人,实际参加表决的董事6人,公司监事和高级管理人员列席了本次会议。本次会议的召集、召开和表决程序符合有关法律、法规和《公司章程》的规定,会议形成的决议合法有效。本次会议采用记名投票方式,审议并通过了如下议案:
一、审议并通过《2022年年度报告及摘要》
表决结果:6票同意,0票反对,0票弃权。该项议案获通过。
具体内容详见上海证券交易所网站(年年度报告摘要》。
本议案尚需提交公司2022年年度股东大会审议。
二、审议并通过《2022年度董事会工作报告》
表决结果:6票同意,0票反对,0票弃权。该项议案获通过。
具体内容详见上海证券交易所网站(年度董事会工作报告》。
本议案尚需提交公司2022年年度股东大会审议。
三、审议并通过《2022年度独立董事述职报告》
表决结果:6票同意,0票反对,0票弃权。该项议案获通过。
具体内容详见上海证券交易所网站(年度独立董事述职报告》。
本议案尚需提交公司2022年年度股东大会审议。
四、审议并通过《2022年度总裁工作报告》
表决结果:6票同意,0票反对,0票弃权。该项议案获通过。
五、审议并通过《2022年度董事会审计委员会履职情况报告》
表决结果:6票同意,0票反对,0票弃权。该项议案获通过。
具体内容详见上海证券交易所网站(年度董事会审计委员会履职情况报告》。
本议案尚需提交公司2022年年度股东大会审议。
六、审议并通过《2022年度内部控制评价报告》
表决结果:6票同意,0票反对,0票弃权。该项议案获通过。
具体内容详见上海证券交易所网站(年度内部控制评价报告》。
本议案尚需提交公司2022年年度股东大会审议。
七、审议并通过《关于编制2022年度财务决算报告的议案》
表决结果:6票同意,0票反对,0票弃权。该项议案获通过。
具体内容详见上海证券交易所网站(年度财务决算报告》。
本议案尚需提交公司2022年年度股东大会审议。
八、审议并通过《关于制定2022年度利润分配预案的议案》
表决结果:6票同意,0票反对,0票弃权。该项议案获通过。
具体内容详见上海证券交易所网站()。
本议案尚需提交公司2022年年度股东大会审议。
九、审议并通过《关于使用闲置自有资金购买理财产品的议案》
表决结果:6票同意,0票反对,0票弃权。该项议案获通过。
具体内容详见上海证券交易所网站()。
本议案尚需提交公司2022年年度股东大会审议。
十、审议并通过《关于预计2023年度向金融机构融资授信的议案》
主要内容:为满足公司及下属子公司2023年度经营活动的需要,进一步拓宽公司融资渠道,保证正常经营活动中的流动资金需求,公司及子公司拟向金融机构申请总额不超过80,000万元(含)的融资授信,融资方式、融资期限、担保条件、实施时间等按与金融机构最终商定的标准执行。
由于各金融机构最终审批存在一定不确定性,在上述额度内,公司可根据与各金融机构沟通的实际情况,变更授信品种并根据具体资金需求向金融机构申请。本次向金融机构申请融资额度的有效期为生效日起至下年度融资授信事项经股东大会审议通过之日止,并授权董事长决定向各金融机构申请及调整的事项,包括进行公司内部的合作金融机构、授信品种以及融资额度的调整的具体事宜。
表决结果:6票同意,0票反对,0票弃权。该项议案获通过。
本议案尚需提交公司2022年年度股东大会审议。
十一、审议并通过《关于确认2022年度公司高级管理人员薪酬的议案》
主要内容:为充分发挥和调动公司高管人员的工作积极性和创造性,更好的提高企业的营运能力和经济效益,增强公司高管人员对实现公司持续、健康发展的责任感、使命感,确保公司发展目标的实现。2022年公司高级管理人员的薪酬方案是根据《公司法》《公司章程》《公司董事会薪酬与考核委员会工作制度》的相关规定并结合公司2022年度经营绩效考核情况而拟定,2022年度公司高级管理人员薪酬实际发放金额为558.37万元,具体内容详见上海证券交易所网站(年年度报告》第四节“公司治理”中四(一)现任及报告期内离任董事、监事和高级管理人员持股变动及报酬情况。
表决结果:5票同意,0票反对,0票弃权,1票回避。该项议案获通过。
董事郑安坤先生同时担任公司总裁职务,郑安坤先生已回避表决。
十二、审议并通过《关于披露2022年度社会责任报告的议案》
表决结果:6票同意,0票反对,0票弃权,0票回避。该项议案获通过。
具体内容详见上海证券交易所网站(年度社会责任报告》。
十三、审议并通过《关于审议2022年度财务报表及其附注并同意其报出的议案》
主要内容:公司已按照《企业会计准则一一基本准则》和其他各项具体会计准则、应用指南及准则解释的规定,并结合《公开发行证券的公司信息披露编报规则第15 号一一财务报告的一般规定》等相关规定编制2022年度财务报表及其附注。
根据《公司法》等法律法规以及《公司章程》的规定,公司董事会同意该财务报告报出。
表决结果:6票同意,0票反对,0票弃权。该项议案获通过。
十四、审议并通过《关于2022年度计提资产减值准备的议案》
公司董事会认为:公司本次计提资产减值准备是基于谨慎性原则,符合《企业会计准则》和会计政策、会计估计的相关规定,计提资产减值准备的依据充分,且公允地反映了公司资产状况、资产价值及经营成果,使公司的会计信息更加真实可靠,具有合理性。
表决结果:6票同意,0票反对,0票弃权。该项议案获通过。
具体内容详见上海证券交易所网站()。
十五、审议并通过《关于提请召开2022年年度股东大会的议案》
表决结果:6票同意,0票反对,0票弃权。该项议案获通过。
具体内容详见上海证券交易所网站()。
特此公告。
安正时尚集团股份有限公司
董事会
2023年4月27日
本版导读
安正时尚集团股份有限公司2022年度报告摘要 2023-04-27







评论