2025第二届江苏省足球发展重点城市对抗赛球员报名名单公示
公示
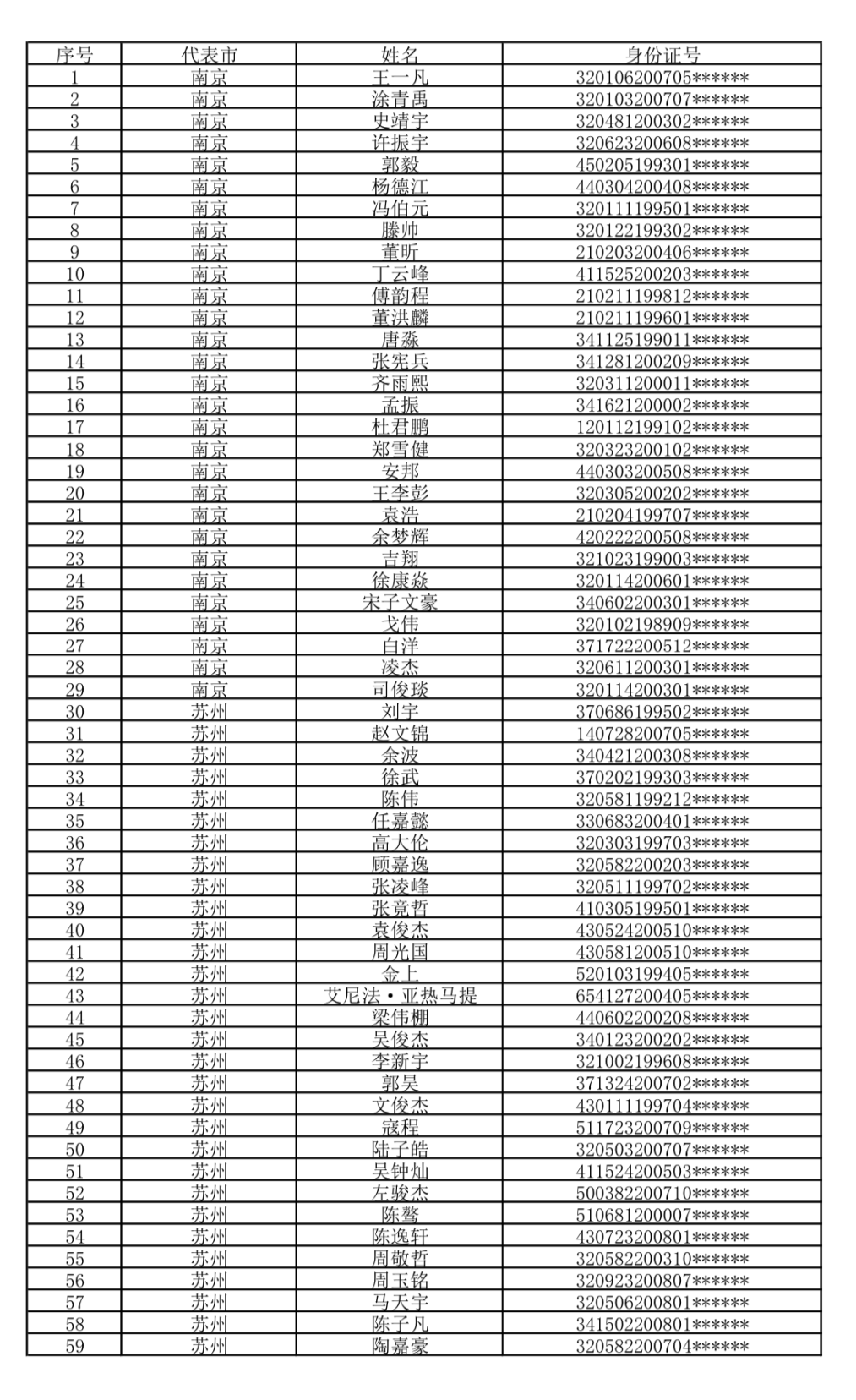
按照《第二届江苏省足球发展重点城市对抗赛竞赛规程》对球员参赛资格审查的相关要求,现将球员报名名单进行公示。
一、公示时间为2025年11月7日至13日。
二、在公示期内,各参赛单位对球员参赛资格如有异议,须以设区市体育局名义反馈给省体育局,连同相关证据材料邮寄至指定地址,并发送扫描版至指定邮箱。公示期结束后,不再接收各参赛单位关于球员参赛资格的举报或申诉。
联系人:刘国祥
邮寄地址:南京市鼓楼区广州路191号五环大厦
联系邮箱:jsfacd@qq.com
第二届重点城市对抗赛球员报名公示

新华日报 送福利啦
版权声明:如无特殊标注,文章均为本站原创,转载时请以链接形式注明文章出处。







评论